高壓保護,熱泵機組常見保護之一。主要原因可分為三個大類
一 、電控方面的問題
1.1主板方面的問題

使萬用表測量主板高壓壓控端口有無12V輸出,如沒有輸出則需要更換主板。

1.2 高壓壓控的問題
壓控正常情況下是聯(lián)通的,當壓力超過保護值時斷開。使用萬用表蜂鳴檔測試,壓控是否是聯(lián)通的,不通則需換壓控。


高壓壓控,壓力達4.2MPa時斷開。使用萬用表測量壓機端子
1.3膨脹閥開度過小的問題
電磁膨脹閥的開度主要是環(huán)境、管溫、吸氣傳感器檢查到和信息來控制的。當因膨脹閥開度過小而引起和高壓保護時,就需要從這方面來著手檢查了。


主要要檢查傳感器是否因脫落松動,造成的實際溫度有偏差,如有需要重新固定
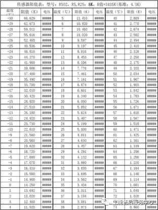
使用萬用表來測量傳感器的電阻來判斷出本身是否有問題
使用萬用表測量管溫、吸氣傳感器對照電阻表,來確認傳感器是否正常,如阻值有偏差,則更換溫度傳感器。
